跳转至

手指树

注意

此章是选读内容,在阅读前请确定你对函数式编程(Functional Programming)有一定了解。

简介

手指树(Finger Tree)是一种 纯函数式 数据结构,由 Ralf Hinze 和 Ross Paterson 提出。

为什么需要手指树

在函数式编程中,列表是十分常见的数据类型。对于基于序列的操作,包括在两端添加和删除元素(双端队列操作),在任意节点插入、连接、删除,查找某个满足要求的元素,将序列拆分为子序列,几乎所有的函数型语言都支持。但是对于高效的更多操作,这些语言很难做到。即使有相对应的实现,通常也都非常复杂,实际很难使用。

而指状树提供了一种纯函数式的序列数据结构,它可以在均摊常量时间(amortized constant time)内完成访问,添加到序列的前端和末尾等操作,以及在对数时间(logarithmic time)内完成串联和随机访问。除了良好的渐近运行时边界外,手指树还非常灵活:当与元素上的幺半群标记(monoidal tag)结合时,指状树可用于实现高效的随机访问序列、有序序列、间隔树和优先级队列。

基本结构

手指树在树的「手指」(叶子)的地方存储数据,访问时间为分摊常量。手指是一个可以访问部分数据结构的点。在命令式语言(imperative language)中,这被称做指针。在手指树中,「手指」是指向序列末端或叶节点的结构。手指树还在每个内部节点中存储对其后代应用一些关联操作的结果。存储在内部节点中的数据可用于提供除树类数据结构之外的功能。

  1. 手指树的深度由下到上计算。
  2. 手指树的第一级,即树的叶节点,仅包含值,深度为 。第二级为深度 。第三级为深度 ,依此类推。
  3. 离根越近,节点指向的原始树(在它是手指树之前的树)的子树越深。这样,沿着树向下工作就是从叶子到树的根,这与典型的树数据结构相反。为了获得这种的结构,我们必须确保原始树具有统一的深度。在声明节点对象时,必须通过子节点的类型进行参数化。深度为 及以上的脊椎上的节点指向树,通过这种参数化,它们可以由嵌套节点表示。

将一棵树变成手指树

注释

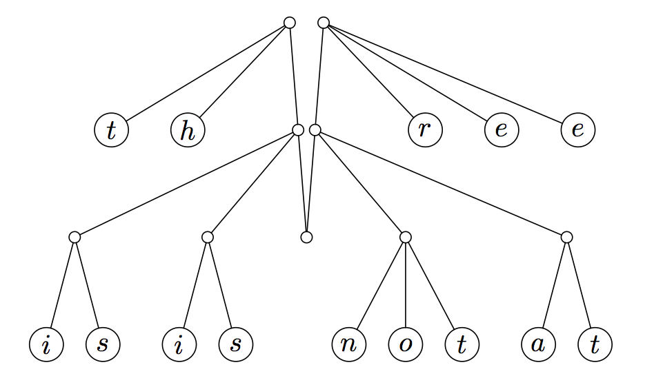
2-3 树 是一种树状数据结构,其中每个带有子节点(内部节点)的节点具有两个子节点( 节点)和一个数据元素或三个子节点( 节点)和两个数据元素。2-3 树是 阶 B 树。树外部的节点(叶节点)没有子节点和一两个数据元素。

我们将从平衡 2-3 树开始这个过程。为了使手指树正常工作,所有的叶节点需要是水平的。如下图所示(图片取自手指树论文):

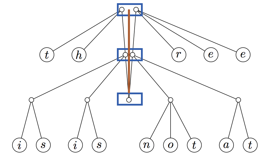
手指是「一种结构,可以有效地访问靠近特定位置的树的节点。」要制作手指树,我们需要将手指放在树的左右两端,取树的最左边和最右边的内部节点并将它们拉起来,使树的其余部分悬在它们之间,这为我们提供了对序列末尾的均摊常量访问时间。

这种新的数据结构被称为手指树。手指树由沿其树脊(棕色线)分布的几层(下方蓝色框)组成:

1
2
3
4
5
6
data FingerTree a = Empty
                  | Single a
                  | Deep (Digit a) (FingerTree (Node a)) (Digit a)

data Digit a = One a | Two a a | Three a a a | Four a a a a
data Node a = Node2 a a | Node3 a a a

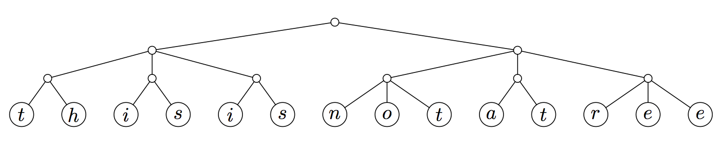
示例中的数字是带有字母的节点。每个列表由树脊上每个节点的前缀或后缀划分。在转换后的 2-3 树中,顶层的数字列表似乎可以有两个或三个长度,而较低级别的长度只有一或两个。为了使手指树的某些应用程序能够如此高效地运行,手指树允许在每个级别上有 个子树。手指树的数字可以转换成一个列表,如:

1
type Digit a = One a | Two a a | Three a a a | Four a a a a

顶层具有类型 的元素,下一层具有类型节点 的元素,因为树脊和叶子之间的节点,这通常意味着树的第 层具有元素类型为 ,或 2-3 个深度为 的树。这意味着 个元素的序列由深度为 Θ(log n) 的树表示。距离最近端 的元素存储在树中 Θ(log d) 深度处。

双向队列操作

指状树也可以制作高效的双向队列。无论结构是否持久,所有操作都需要 Θ(1) 时间。它可以被看作是的隐式双端队列的扩展1

  1. 用 2-3 个节点替换对提供了足够的灵活性来支持有效的串联。(为了保持恒定时间的双端队列操作,必须将 Digit 扩展为四。)
  2. 用幺半群(monoid)注释内部节点允许有效的分裂。

1
2
3
4
5
data ImplicitDeque a = Empty
                     | Single a
                     | Deep (Digit a) (ImplicitDeque (a, a)) (Digit a)

data Digit a = One a | Two a a | Three a a a

时间复杂度

手指树提供了对树的「手指」(叶子)的分摊常量时间访问,这是存储数据的地方,以及在较小部分的大小中连接和拆分对数时间。它还在每个内部节点中存储对其后代应用一些关联操作的结果。存储在内部节点中的「摘要」数据可用于提供除树之外的数据结构的功能。

操作手指树注释 2-3 树 (annotated 2-3 tree)列表(list)向量(vector)
const,snoc/
viewl,viewr/
measure/length
append
split
replicate
fromList,toList,reverse////
index

应用

指状树可用于建造其他树。例如,优先级队列可以通过树中子节点的最小优先级标记内部节点来实现,或者索引列表/数组可以通过节点的子节点中叶子的计数来标记节点来实现。其他应用包括随机访问序列(如下所述)、有序序列和区间树。

手指树可以提供平均 的推、反转、弹出, 追加和拆分;并且可以适应索引或排序序列。和所有函数式数据结构一样,它本质上是持久的;也就是说,始终保留旧版本的树。

对于代码实现,Haskell 核心库中的有限序列 Seq 的实现使用了 2-3 手指树(Data.Sequence),OCaml 中 BatFingerTree 模块的 实现 也使用了通用手指树数据结构。手指树可以使用或不使用惰性求值来实现,但惰性允许更简单的实现。

参考资料与拓展阅读

  1. Ralf Hinze and Ross Paterson, "Finger trees: a simple general-purpose data structure", Journal of Functional Programming 16:2 (2006) pp 197-217.
  2. Finger Tree - Wikipedia

  1. Purely Functional Data Structures, Chris Okasaki (1999)